31/12/2025
Mặc định
Lớn hơn
Carbamide peroxide là hợp chất oxy hóa nhẹ, thường được sử dụng trong các sản phẩm tẩy trắng răng và làm sạch tai. Hoạt chất giải phóng hydrogen peroxide khi tiếp xúc với nước, giúp loại bỏ mảng bám, làm sáng men răng và hỗ trợ khử khuẩn. Cần lưu ý, nếu sử dụng quá liều hoặc kéo dài, có thể gây kích ứng nướu, men răng nên tuân thủ hướng dẫn sử dụng để đảm bảo an toàn.
Carbamide peroxide là một hợp chất hóa học được tạo thành từ urê và hydrogen peroxide. Khi tiếp xúc với nước hoặc môi trường ẩm, nó phân hủy giải phóng hydrogen peroxide - một chất oxy hóa mạnh có khả năng phá vỡ các liên kết hữu cơ. Nhờ tính chất này, Carbamide peroxide được sử dụng rộng rãi trong các sản phẩm tẩy trắng răng, giúp loại bỏ mảng bám và làm sáng men răng. Ngoài ra, nó còn được dùng trong một số sản phẩm chăm sóc tai để làm mềm ráy tai và hỗ trợ khử khuẩn nhẹ.
Trong y học và nha khoa, Carbamide peroxide được ứng dụng phổ biến nhờ tính an toàn tương đối và hiệu quả cao. Nó hoạt động bằng cách giải phóng oxy, thâm nhập vào các mảng bám hoặc vết ố trên răng, phá vỡ cấu trúc protein gây màu, từ đó làm răng trắng hơn. Ở tai, hợp chất này giúp làm mềm ráy tai, hỗ trợ quá trình vệ sinh tai mà không gây tổn thương niêm mạc. Tuy nhiên, cần lưu ý rằng sử dụng quá liều hoặc nồng độ cao có thể gây kích ứng nướu, men răng hoặc mô mềm. Việc tuân thủ đúng hướng dẫn sử dụng sẽ đảm bảo an toàn và đạt hiệu quả tốt nhất.

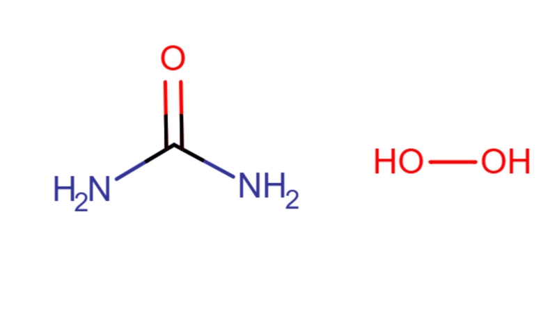
Carbamide peroxide được điều chế bằng cách kết hợp urê (CO(NH₂)₂) với Hydrogen peroxide (H₂O₂) trong dung môi thích hợp, thường là nước hoặc dung dịch loãng. Khi tiếp xúc với môi trường ẩm, hợp chất này phân hủy từ từ để giải phóng Hydrogen peroxide, tạo ra một phức hợp ổn định với urê. Sản phẩm thu được có thể tồn tại dưới dạng rắn kết tinh hoặc dung dịch với nồng độ ổn định.
Trong sản xuất công nghiệp, quá trình thường bắt đầu bằng bước pha trộn, trong đó urê được hòa tan hoàn toàn trong dung dịch Hydrogen peroxide theo tỷ lệ chính xác. Sau đó, hỗn hợp được làm lạnh hoặc xử lý thích hợp để tạo thành Carbamide peroxide rắn, giúp kết tinh sản phẩm và loại bỏ các tạp chất không mong muốn.
Bước tinh chế và đóng gói là rất quan trọng. Carbamide peroxide rắn sau khi kết tinh được sàng lọc, loại bỏ tạp chất, sau đó đóng gói trong môi trường kín, tránh ánh sáng và nhiệt độ cao để ngăn phân hủy. Sản phẩm cuối cùng thường ở dạng bột trắng hoặc dung dịch nồng độ thấp, phù hợp cho các ứng dụng y tế, nha khoa hoặc chăm sóc cá nhân.
Kiểm soát nhiệt độ, nồng độ và thời gian phản ứng là yếu tố then chốt để đảm bảo tính ổn định và hiệu quả của Carbamide peroxide trong mọi ứng dụng.
Carbamide peroxide là hợp chất được tạo thành từ urê và hydrogen peroxide. Khi gặp nước, nó phân tách trở lại thành hai thành phần này. Hydrogen peroxide đóng vai trò chủ yếu, đảm nhận hầu hết các tác dụng sinh học của Carbamide peroxide.
Trong quá trình tẩy trắng răng, Carbamide peroxide thực hiện tác dụng thông qua việc giải phóng Hydrogen peroxide - một chất oxy hóa mạnh có khả năng phá vỡ các liên kết hữu cơ gây màu. Khi tiếp xúc với bề mặt răng, Hydrogen peroxide thâm nhập vào các lớp men và ngà răng, đi sâu vào cấu trúc của răng để tiếp xúc trực tiếp với các vết ố và các hợp chất tạo màu. Quá trình oxy hóa diễn ra khi các phân tử oxy từ Hydrogen peroxide phản ứng với các phân tử gây đổi màu, làm gián đoạn các liên kết giữ chúng lại và làm giảm độ sậm màu, từ đó cải thiện độ trắng của răng. Thành phần urê trong Carbamide peroxide đóng vai trò quan trọng trong việc ổn định Hydrogen peroxide, giúp giải phóng chất hoạt động một cách chậm rãi và kiểm soát, nhờ đó giảm nguy cơ kích ứng hoặc nhạy cảm răng trong quá trình làm trắng.
Đối với việc làm sạch tai, Carbamide peroxide hoạt động bằng cách làm mềm và phân hủy ráy tai, giúp việc loại bỏ trở nên dễ dàng hơn. Khi đưa vào tai, Carbamide peroxide giải phóng Hydrogen peroxide, chất này phản ứng với các thành phần trong ráy tai. Quá trình phản ứng tạo ra oxy dưới dạng bọt khí, giúp làm bong và tách ráy tai ra khỏi thành ống tai. Tác động cơ học của các bọt khí này làm ráy tai trở nên lỏng hơn, từ đó có thể loại bỏ một cách tự nhiên hoặc nhờ hỗ trợ của các kỹ thuật rửa tai và tưới rửa chuyên dụng.
Trong cả hai ứng dụng, việc giải phóng và phân hủy Carbamide peroxide thành Hydrogen peroxide và urê theo cách có kiểm soát là rất quan trọng. Thành phần urê đóng vai trò ổn định, đảm bảo Hydrogen peroxide được giải phóng từ từ, điều này đặc biệt cần thiết trong các ứng dụng nha khoa để ngăn ngừa phân hủy nhanh và giảm nguy cơ gây kích ứng. Quá trình giải phóng dần dần cũng giúp duy trì hoạt động lâu dài, cho phép điều trị hiệu quả và đạt kết quả bền vững hơn.
Tóm lại, cơ chế hoạt động của Carbamide peroxide dựa trên khả năng phân hủy thành Hydrogen peroxide và urê. Hydrogen peroxide thực hiện các tác động chính như tẩy trắng răng hoặc phá vỡ ráy tai thông qua quá trình oxy hóa hoặc tạo bọt, trong khi urê đảm bảo việc giải phóng Hydrogen peroxide diễn ra một cách có kiểm soát và ổn định. Sự kết hợp này khiến Carbamide peroxide trở thành một hợp chất đa năng, mang lại hiệu quả cao trong cả các ứng dụng nha khoa lẫn y tế.

Carbamide peroxide là một hợp chất được sử dụng rộng rãi nhờ khả năng làm sạch và loại bỏ các chất bẩn, mảng bám hoặc các vết ố trên bề mặt. Hoạt chất này giúp cải thiện độ sáng, duy trì vệ sinh tốt và hỗ trợ khử khuẩn nhẹ, tạo cảm giác sạch sẽ, an toàn cho người sử dụng. Nhờ thành phần urê ổn định, Carbamide peroxide giải phóng hoạt chất một cách từ từ, giúp duy trì hiệu quả lâu dài đồng thời hạn chế nguy cơ kích ứng hoặc tác dụng phụ, mang lại sự an tâm khi sử dụng.
Carbamide peroxide đem lại kết quả đáng tin cậy và dễ sử dụng trong nhiều tình huống khác nhau, đóng vai trò quan trọng trong việc nâng cao chất lượng vệ sinh và chăm sóc, tạo hiệu quả bền vững và sự hài lòng cho người dùng. Ngoài ra, hợp chất này còn được đánh giá cao nhờ tính đa năng, dễ dàng kết hợp trong các sản phẩm chăm sóc và y tế, giúp tăng hiệu quả tổng thể trong việc làm sạch, duy trì sức khỏe và bảo vệ môi trường xung quanh. Nhờ những đặc tính này, Carbamide peroxide trở thành lựa chọn ưu tiên trong nhiều ứng dụng, vừa mang lại hiệu quả rõ rệt vừa đảm bảo an toàn lâu dài cho người sử dụng.

Carbamide peroxide được sử dụng theo nhiều cách khác nhau, tùy thuộc vào mục đích và sản phẩm chứa hợp chất này.
Trong chăm sóc răng miệng, Carbamide peroxide thường được bào chế dưới dạng gel hoặc miếng dán tẩy trắng răng. Người dùng bôi trực tiếp gel hoặc đặt miếng dán lên bề mặt răng, tuân thủ nồng độ và thời gian sử dụng theo hướng dẫn của nha sĩ hoặc theo chỉ dẫn trên sản phẩm. Thời gian tiếp xúc thường được kiểm soát chặt chẽ để đảm bảo hiệu quả tẩy trắng mà vẫn hạn chế nguy cơ kích ứng hoặc ê buốt răng. Sau khi kết thúc quá trình, người dùng cần súc miệng sạch bằng nước để loại bỏ dư lượng còn lại, đồng thời tránh ăn uống các thực phẩm dễ gây ố trong một thời gian ngắn để duy trì hiệu quả.
Trong việc làm sạch tai, Carbamide peroxide thường được sử dụng dưới dạng dung dịch nhỏ giọt. Người dùng nhỏ một lượng dung dịch vừa đủ vào tai, để cho hợp chất thấm vào ráy tai và làm mềm các chất bẩn. Sau khi dung dịch phát huy tác dụng, các bọt khí tạo ra từ phản ứng của hydrogen peroxide sẽ giúp phá vỡ ráy tai, làm chúng lỏng và dễ loại bỏ hơn. Ráy tai có thể rơi ra tự nhiên hoặc được loại bỏ bằng các kỹ thuật rửa tai an toàn, theo hướng dẫn của nhân viên y tế để tránh tổn thương màng nhĩ hoặc ống tai.
Lưu ý quan trọng khi sử dụng Carbamide peroxide là luôn tuân thủ nồng độ, liều lượng và thời gian khuyến cáo trên sản phẩm hoặc theo chỉ định của chuyên gia y tế. Tránh tiếp xúc với mắt, niêm mạc nhạy cảm hoặc nuốt phải. Người có tiền sử mẫn cảm với hydrogen peroxide, urê hoặc các thành phần liên quan nên thận trọng hoặc tham khảo ý kiến bác sĩ trước khi sử dụng. Bảo quản sản phẩm ở nơi khô ráo, tránh ánh sáng trực tiếp và nhiệt độ cao để giữ ổn định hoạt chất và duy trì hiệu quả sử dụng.

Trong ngành mỹ phẩm, Carbamide peroxide được sử dụng rộng rãi nhờ khả năng oxy hóa và làm sáng các bề mặt. Một trong những ứng dụng phổ biến là trong các sản phẩm tẩy trắng răng, nơi hợp chất này giúp loại bỏ vết ố, mảng bám và cải thiện độ trắng sáng của men răng một cách an toàn khi được sử dụng đúng nồng độ và hướng dẫn. Ngoài ra, Carbamide peroxide còn được dùng trong các sản phẩm tẩy tóc và oxy hóa thuốc uốn tóc, giúp làm sáng màu tóc hoặc kích hoạt các phản ứng hóa học cần thiết cho quá trình uốn tóc, đồng thời kiểm soát quá trình giải phóng Hydrogen peroxide để hạn chế tác động gây hư tổn.
Carbamide peroxide được dùng như một chất oxy hóa trong các phản ứng tổng hợp, nhờ khả năng giải phóng Hydrogen peroxide từ từ và ổn định. Tính chất này giúp kiểm soát tốc độ phản ứng, giảm nguy cơ phân hủy nhanh hoặc phản ứng quá mạnh. Nó được sử dụng để oxy hóa hợp chất hữu cơ, chuẩn bị chất trung gian, hoặc làm chất chuẩn trong các thí nghiệm nghiên cứu và giảng dạy hóa học.
Carbamide peroxide được dùng trong nha khoa để tẩy trắng răng và hỗ trợ loại bỏ mảng bám cứng đầu. Trong lĩnh vực chăm sóc tai, hợp chất này giúp làm mềm ráy tai, tạo điều kiện loại bỏ một cách an toàn. Ngoài ra, nó còn được sử dụng trong các dung dịch khử khuẩn nhẹ để vệ sinh các bề mặt y tế, góp phần đảm bảo an toàn trong điều trị và chăm sóc sức khỏe.

Các lưu ý khi sử dụng Carbamide peroxide: