21/06/2023
Mặc định
Lớn hơn
Polyacrylate-13 là một loại polyme tổng hợp thân thiện với da có chức năng bảo vệ bề mặt da, làm đặc sản phẩm và giúp giữ cho công thức ổn định.
Polyacrylate-13 là một phần của chất nhũ hóa, chất làm đặc độc quyền và kết hợp với polyisobutene và polysorbate 20 để tạo ra kết cấu dẻo dai, giống như silicone mà không cần sử dụng silicon.

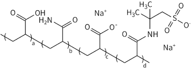
Công thức hóa học của Polyacrylate-13
Sản phẩm này là một loại polymer đa chức năng với cảm giác silicone và độ lan tỏa khi lướt nhẹ. Nó tối ưu trong phạm vi pH 3-12 và nó có khả năng làm đặc hơn khi có chất điện giải.
Polyacrylate-13 là một nhũ tương nghịch đảo (nước trong dầu) trong đó chuỗi polyme được nén chặt trong pha nước bên trong. Khi pha nước được thêm vào, giọt nước trương nở sẽ trải qua hai giai đoạn:
Chuyển đổi nhũ tương nghịch đảo thành nhũ tương trực tiếp (nước trong dầu hay dầu trong nước).
Sự mở ra của chuỗi polyme vào pha nước bên ngoài với sự hình thành của một mạng lưới microgel liên kết chéo.
Các đặc tính của Polyacrylate-13:
Chất tạo gel đa năng và chất nhũ hóa: Để có được gel, bạn cần hòa tan Polyacrylate-13 trong nước, để có được nhũ dầu đặc thì phải hòa tan trong dầu.
Ổn định và nhũ hóa đến 50% lượng dầu trong thành phần của sản phẩm mỹ phẩm ở cả nhiệt độ thấp và cao.
Thích hợp cho cả pha chế nhũ tương "nóng" và "lạnh".
Đặc và ổn định trong phạm vi pH rộng từ 3 đến 11.
Có thể là chất nhũ hóa trong quá trình tạo nhũ tương nước trong dầu nghịch đảo.
Cải thiện các đặc tính xúc giác của mỹ phẩm: Polyacrylate-13 dạng sữa hoặc kem nhẹ, mịn, sản phẩm tán đều trên da một cách dễ dàng.
Làm dày và ổn định các công thức có chứa các chất giàu chất điện giải: Gel nước tạo thành ổn định trong các điều kiện khắc nghiệt: Nhiệt độ cao, cũng như chu kỳ đông lạnh/rã đông.
Sản phẩm này là chất tạo nhũ, ổn định pha dầu và tương thích với dung môi. Nó cũng được cô đặc và trung hòa cũng như sẵn sàng để sử dụng vì vậy nó là lý tưởng cho quá trình lạnh trong quá trình đưa vào pha dầu hoặc nước.
Polyacrylate-13 hoạt động bằng cách hút nước trong sản phẩm để giúp lơ lửng các hạt và giọt dầu. Không giống như các polyme tự nhiên (tức là kẹo cao su xanthan), không có hiệu ứng dẻo, dai. Tốt hơn nữa, các polyme polyacrylate không gây thêm gánh nặng cho vi sinh vật.
Polyacrylate-13 có thể ổn định tỷ lệ phần trăm dầu cao (lên đến 50%) và các thành phần hoạt tính mà các chất làm đặc khác sẽ không thành công. Với khả năng tạo huyền phù hạt, nó cũng có thể tối ưu hóa việc phân phối các hoạt chất đó. Nó cung cấp một kết cấu mịn màng, mềm mại, dễ chịu và tạo thành một lớp nhẹ trên bề mặt da để bảo vệ và khóa ẩm.
Chất tạo màng này hấp thụ nước để làm đặc công thức và cũng cho phép nước duy trì trên bề mặt da để giúp da ẩm và căng mọng.
Phạm vi sử dụng: Kem dưỡng ẩm để chăm sóc da khô, da dầu và da hỗn hợp (kem dưỡng, gel, kem và sữa), gel và mặt nạ tóc, sản phẩm vệ sinh, kem dưỡng và trang điểm khác, cũng như nhũ tương để tẩy trang.

Polyacrylate-13 là thành phần kem dưỡng ẩm
Polyacrylate-13 là thế hệ mới của chất làm đặc - chất nhũ hóa "Hydro Swelling Droplet" (HSD). Nó là chất lỏng, sẵn sàng để sử dụng, tạo ra một kết cấu mềm mại, tạo ra một lớp màng không dính trên da, có hiệu ứng lướt nhẹ như kem.
Polyacrylate-13 được sản xuất không sử dụng dung môi, dễ sử dụng, không cần trung hòa, lý tưởng cho các quy trình lạnh, có các đặc điểm độc đáo, bao gồm:
Đặc tính làm đặc tuyệt vời: Nó đặc lại một cách hoàn hảo khi có sự hiện diện của các chất điện giải (muối, nước khoáng, dihydroxyacetone) và trong một phạm vi pH rộng. Do khả năng làm đặc các công thức dựa trên dung môi, Polyacrylate-13 là thành phần thiết yếu cho các sản phẩm giảm cân, gel làm mát chân, gel dưỡng tóc, mặt nạ, huyết thanh, các sản phẩm trị liệu có chứa tinh dầu,...Làm đặc khi có dung môi: Polyacrylate-13 có thể làm dày môi trường chứa tới 50% dung môi phân cực. Độ nhớt của gel tạo thành không thay đổi theo thời gian (> M3).
Làm nhũ hóa và ổn định bất kỳ pha béo nào (bất kể bản chất của dầu, lên đến 50% pha béo mà không cần thêm chất nhũ hóa).
Gel, kem dựa trên Polyacrylate-13có các đặc điểm sau phù hợp có trong các sản phẩm chăm sóc da:
Kết cấu dạng kem và đặc;
Lướt nhẹ, phân bố giống như silicone trên da;
Phim không dính;
Nhũ trắng và bóng.
Hàm lương chứa phần trăm đầu vào được đề xuất:
Trong nhũ tương sử dụng Polyacrylate-13 làm chất làm đặc - ổn định, nồng độ của nó có thể từ 0,2% đến 3%, tùy thuộc vào bản chất của các thành phần khác của chế phẩm.
Trong kem - gel, nơi Polyacrylate-13 được sử dụng làm chất nhũ hóa duy nhất, nồng độ của nó dao động từ 0,5 đến 3%, tùy thuộc vào bản chất của các thành phần khác trong chế phẩm.
Các tính năng của đầu vào công thức:
Gel nước: Thêm Polyacrylate-13 vào pha nước bằng cách khuấy.
Dạng kem - gel: Ưu tiên phân tán Polyacrylate-13 trong giai đoạn da dầu. Sau đó, thêm tất cả nước cùng một lúc và khuấy.
Các sản phẩm chứa Polyacrylate-13 trên thị trường:
Sản phẩm phục hồi da sau khi bị cháy nắng.
Chuốt mi.

Polyacrylate-13 là thành phần trong sản phẩm chuốt mi
Sữa tắm cho trẻ em.
Sản phẩm chăm sóc da.
Các sản phẩm nhạy cảm với nhiệt hoặc độ pH là những thành phần phụ thuộc.
Sản phẩm làm trắng.
Sản phẩm tạo màu cho tóc.
Tự thuộc da.
Kem - gel, gel nhũ tương, v.v.
Để tránh phản ứng hoặc làm yếu tính chất tạo gel, nên tránh sử dụng Polyacrylate-13 trong các công thức có polysaccharid, với chất oxy hóa rất mạnh hoặc với các thành phần giàu chất điện ly cation. Nếu cần thêm bộ lọc và chất độn khoáng, chúng được thêm vào pha béo trước khi tạo nhũ tương.
Hiện chưa có báo cáo về tác dụng phụ gây hại của Polyacrylate-13 đối với làn da và sức khỏe người dùng khi sử dụng trong mỹ phẩm và các sản phẩm chăm sóc cá nhân. Nó được xếp mức 1 – 2 trên thang điểm 10 của EWG (trong đó 1 là thấp nhất, 10 là cao nhất về mức độ nguy hại).
https://cipherskincare.com/ingredient-glossary/polyacrylate-13/
https://www.ewg.org/skindeep/ingredients/726719-POLYACRYLATE13/
https://all.biz/emulsifier-thickener-sepiplus-400-inci-g17517693UA
https://twenty-gen.online/2020/01/01/polyacrylate-13-la-gi-co-tac-dung-gi-trong-my-pham