31/10/2025
Mặc định
Lớn hơn
Zinc picolinate là dạng muối của kẽm và acid picolinic, giúp cơ thể hấp thu kẽm hiệu quả hơn so với nhiều dạng khác. Hoạt chất này có vai trò quan trọng trong việc tăng cường hệ miễn dịch, hỗ trợ lành vết thương và duy trì sức khỏe của da, tóc, móng. Ngoài ra, Zinc picolinate còn giúp cân bằng nội tiết và cải thiện chức năng sinh sản. Tuy nhiên, việc sử dụng liều cao kéo dài có thể gây buồn nôn, rối loạn tiêu hóa hoặc thiếu đồng do mất cân bằng khoáng chất.
Zinc picolinate là dạng muối của kẽm và acid picolinic, được sử dụng phổ biến trong các thực phẩm bổ sung để cung cấp kẽm cho cơ thể. Đây là một trong những dạng kẽm có khả năng hấp thu cao nhất, giúp nâng cao hiệu quả so với các dạng muối kẽm khác như kẽm gluconate hay kẽm sulfate. Zinc picolinate giúp ngăn ngừa và điều trị tình trạng thiếu kẽm, vốn có thể gây suy giảm miễn dịch, chậm lành vết thương và rối loạn tăng trưởng.
Hoạt chất này còn đóng vai trò điều hòa hệ miễn dịch, ức chế sản xuất các chất trung gian gây viêm, đồng thời hoạt động như một chất chống oxy hóa, bảo vệ tế bào khỏi tổn thương do gốc tự do và DNA bị oxy hóa. Kẽm trong dạng picolinate cũng hỗ trợ chức năng của nhiều loại enzyme, cần thiết cho quá trình tổng hợp protein, phân chia và tái tạo tế bào.

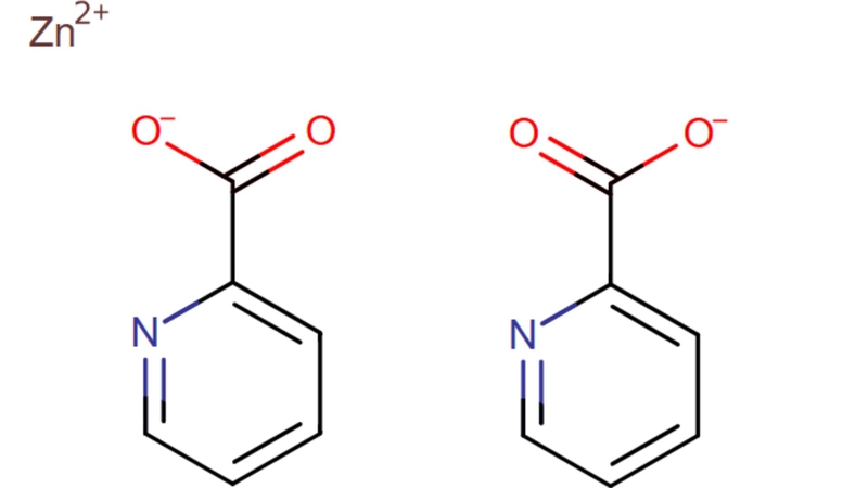
Quy trình tổng hợp Zinc picolinate thường dựa trên phản ứng hóa học giữa kẽm kim loại (Zn) hoặc muối kẽm với axit picolinic (C₆H₅NO₂) – một dẫn xuất của acid pyridinecarboxylic. Mục tiêu của quá trình là tạo thành muối kẽm của axit picolinic, có công thức phân tử Zn(C₆H₄NO₂)₂, được biết đến với độ ổn định cao và khả năng hấp thu tốt trong cơ thể.
Trước tiên, axit picolinic được hòa tan trong dung dịch kiềm (như NaOH) để chuyển thành muối natri picolinate. Dung dịch này sau đó được cho phản ứng với dung dịch muối kẽm tan trong nước, thường sử dụng zinc acetate dihydrate [Zn(CH₃COO)₂·2H₂O] hoặc zinc chloride (ZnCl₂). Khi hai dung dịch trộn lẫn, ion kẽm (Zn²⁺) kết hợp với ion picolinate, tạo ra muối Zinc picolinate kết tủa.
Sau khi phản ứng hoàn tất, kết tủa được lọc, rửa nhiều lần bằng nước cất để loại bỏ tạp chất vô cơ, sau đó sấy khô ở nhiệt độ thấp để thu được sản phẩm ở dạng tinh thể màu trắng hoặc hơi ngà. Bột Zinc picolinate thu được có độ tinh khiết cao, tan kém trong nước nhưng ổn định và dễ bào chế trong viên nang, viên nén hoặc hỗn dịch bổ sung dinh dưỡng.
Trong quy mô sản xuất công nghiệp, các yếu tố như độ pH, nhiệt độ phản ứng và thời gian khuấy trộn cần được kiểm soát chặt chẽ nhằm tối ưu hiệu suất và hạn chế sự hình thành tạp chất kim loại nặng. Một số cơ sở còn sử dụng quy trình tinh chế kết tinh lại hoặc lọc màng nano để nâng cao độ tinh khiết của sản phẩm.
Zinc picolinate được sản xuất theo quy trình này được đánh giá là an toàn, thân thiện với môi trường và phù hợp tiêu chuẩn dược phẩm, thường được dùng trong thực phẩm chức năng, thuốc bổ sung khoáng chất và mỹ phẩm dưỡng da do tính sinh khả dụng và ổn định cao.

Zinc picolinate hoạt động chủ yếu nhờ khả năng cung cấp kẽm với sinh khả dụng cao, giúp cơ thể hấp thu và sử dụng nguyên tố vi lượng này hiệu quả hơn so với nhiều dạng kẽm khác. Khi được đưa vào cơ thể, axit picolinic đóng vai trò như một chất mang (chelator), hình thành phức hợp với ion kẽm, từ đó giúp kẽm dễ dàng vượt qua hàng rào ruột non và đi vào tuần hoàn máu, đảm bảo nồng độ kẽm ổn định trong cơ thể.
Sau khi hấp thu, kẽm tham gia vào nhiều quá trình sinh học quan trọng:
Nhờ những cơ chế này, Zinc picolinate trở thành một trong những dạng kẽm được ưa chuộng trong thực phẩm bổ sung, y học dự phòng và chăm sóc sức khỏe tổng thể, đặc biệt cho người cần tăng cường miễn dịch, cải thiện chức năng sinh lý và hỗ trợ phục hồi mô.

Các công dụng của Zinc picolinate bao gồm:

Kẽm Picolinate (Zinc picolinate) thường được bào chế dưới dạng viên nang, viên nén hoặc bột hòa tan, là một dạng bổ sung kẽm dễ hấp thu trong cơ thể. Đây là sản phẩm thường có mặt trong các thực phẩm chức năng, đôi khi được kết hợp với vitamin hoặc các khoáng chất khác nhằm tăng hiệu quả hấp thu và hỗ trợ miễn dịch.
Kẽm Picolinate được sử dụng bằng đường uống, liều thông thường cho người trưởng thành dao động từ 15 - 30 mg kẽm nguyên tố mỗi ngày, tùy theo nhu cầu dinh dưỡng và chỉ định của bác sĩ. Nên uống sau bữa ăn để tránh kích ứng dạ dày và không dùng cùng lúc với thực phẩm hay thuốc chứa sắt, canxi hoặc đồng, vì chúng có thể làm giảm khả năng hấp thu kẽm.
Ngoài ra, người đang sử dụng kháng sinh nhóm tetracycline hoặc quinolone nên tham khảo ý kiến bác sĩ trước khi dùng để tránh tương tác thuốc.
Kẽm Picolinate (Zinc picolinate) có nhiều ứng dụng trong đời sống, chủ yếu trong lĩnh vực dinh dưỡng, y học và chăm sóc sức khỏe.
Kẽm Picolinate được sử dụng phổ biến như một thực phẩm bổ sung giúp phòng ngừa và điều trị tình trạng thiếu kẽm. Nó hỗ trợ tăng cường miễn dịch, giúp cơ thể chống lại nhiễm khuẩn, cảm cúm và viêm nhiễm.
Ngoài ra, kẽm picolinate còn góp phần duy trì nồng độ hormone ổn định, đặc biệt là testosterone ở nam giới, giúp cải thiện khả năng sinh sản và sức khỏe tình dục.
Ở phụ nữ, nó hỗ trợ cân bằng nội tiết tố, giảm triệu chứng tiền kinh nguyệt và hỗ trợ sức khỏe xương khớp.
Bên cạnh đó, kẽm còn đóng vai trò bảo vệ tế bào thần kinh, tăng cường trí nhớ và khả năng tập trung, hỗ trợ cho người cao tuổi và người làm việc trí óc.

Kẽm Picolinate được ứng dụng trong nhiều sản phẩm chăm sóc da, tóc và móng nhờ đặc tính chống viêm và chống oxy hóa mạnh. Nó giúp làm lành vết thương, giảm mụn trứng cá, ngăn ngừa viêm da và thúc đẩy tổng hợp collagen, mang lại làn da săn chắc, khỏe mạnh. Ngoài ra, kẽm còn giúp giảm tiết bã nhờn, hạn chế tình trạng bóng dầu và viêm da tiết bã. Trong các sản phẩm chăm sóc tóc, Kẽm Picolinate hỗ trợ ngăn gãy rụng, kích thích mọc tóc, và duy trì độ bóng khỏe tự nhiên.
Lưu ý khi sử dụng Kẽm Picolinate (Zinc picolinate):