• Thực phẩm chức năng

  • Dược mỹ phẩm

  • Thuốc

  • Chăm sóc cá nhân

  • Thiết bị y tế

  • Tiêm chủng

  • Bệnh & Góc sức khỏe

  • Hệ thống nhà thuốc

    1. /
    2. Thành phần khác/
    3. Benzylamine

    Benzylamine là gì? Công dụng hạ đường huyết và ứng dụng hiện nay

    21/06/2023

    Kích thước chữ

    Benzylamine là một hợp chất hữu cơ tồn tại dạng chất lỏng hòa tan trong nước không màu hay màu vàng nhạt. Với những đặc tính phù hợp Benzylamine được ứng dụng rộng rãi trong sản xuất công nghiệp của nhiều loại dược phẩm.

    Nội dung chính

    Tìm hiểu chung

    Benzylamine là gì?

    Danh pháp IUPAC: Phenylmethanamine.

    PubChem CID: 7504.

    Tên gọi khác: Benzenemethanamine, Monobenylamine, Aminotoluen, omega-Aminitoluene, Benylamine on polystyrene, Aminomethylbenzen.

    Benzylamine là một hợp chất hóa học hữu cơ có công thức cấu tạo là C6H5CH2NH2, đôi khi có thể bắt gặp ở dạng viết tắt là PhCH2NH2 hoặc BnNH2. Benzylamine cấu tạo gồm một nhóm benzyl C6H5CH2, gắn với một nhóm chức amin NH2. Nó đã được phân lập từ cây chùm ngây (Moringa oleifera). Benzylamine có vai trò như một chất ức chế, chất chuyển hóa thực vật và còn là chất gây dị ứng.

    Các tính chất của Benzylamine bao gồm:

    • Mật độ: 1,0 ± 0,1 g/cm3.

    • Điểm sôi: 185,0 ± 0,0 độ C ở 760 mmHg.

    • Điểm nóng chảy: -30 độ C.

    • Công thức phân tử: C7H9N.

    • Trọng lượng phân tử: 107,153.

    • Điểm bốc cháy: 60,0 ± 0,0 độ C.

    • Khối lượng chính xác: 107.073502.

    • Benzylamine là chất lỏng không màu đến vàng nhạt, có mùi amoniac nồng nặc. Nổi và trộn với nước.

    • Có thể hòa tan trong etanol và ete dietyl, benzen đồng thời rất dễ hòa tan trong axeton và ít tan trong cloroform.

    benzylamine1
    Cấu trúc hóa học 3D của Benzylamine

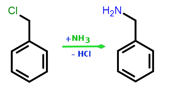
    Điều chế sản xuất Benzylamine

    Benzylamine được tạo ra bằng phản ứng của benzyl clorua với amoniac trong dung dịch nước. Việc điều chế benzylamin bằng phương pháp ammono phân benzyl clorua đã được báo cáo rộng rãi.

    Bằng sáng chế Hoa Kỳ số 2.608.584 mô tả và tuyên bố phương pháp điều chế Benzylamine bằng cách phản ứng Benzyl clorua và Amoniac trong nước, tỷ lệ mol của amoniac so với benzyl clorua là khoảng 20:1, ở nhiệt độ lên đến 50 độ C.

    Phản ứng diễn ra trong một khoảng thời gian từ 2 đến 4 giờ. Sau phản ứng, natri hydroxit dư được thêm vào, benzylamin được chiết bằng ete etylic và được tinh chế. Phương pháp này thu được một sản lượng là 60% Benzylamine.

    benzylamine2
    Phương trình phản ứng điều chế Benzylamine

    Các phương pháp tương tự khác để điều chế benzylamin đã được báo cáo trong lĩnh vực này, sử dụng rượu etylic kết hợp với amoniac trong nước và benzyl clorua và theo quy trình tương tự như quy trình đã nêu ở trên.

    Cơ chế hoạt động

    Ở động vật có vú, Benzylamine được chuyển hóa bởi chất Semicarbazide-sensitive amine oxidase (SSAO) thành benzaldehyde và hydrogen peroxide. Sản phẩm thứ hai này có tác dụng bắt chước insulin, và có liên quan đến tác dụng của Benzylamine trên tế bào mỡ của người: kích thích vận chuyển glucose và ức chế phân giải lipid.

    Hoạt động của monoamine oxidase đã được nghiên cứu trong phần ty thể của thân não của những con sóc đất đang ngủ hoặc ngủ đông. Trong quá trình ngủ đông, sự khử amin của serotonin và sự chuyển đổi của phức hợp monoamine oxit serotonin giảm hơn so với sự khử amin của Benzylamine và sự chuyển đổi của phức hợp monoamine oxide benzylamine.

    Công dụng

    Benzylamine được tìm thấy trong cây chùm ngây (Moringa oleifera), một loại cây được sử dụng để điều trị bệnh tiểu đường trong y học cổ truyền.

    benzylamine 3
    Chiết xuất Chùm ngây (Moringa oleifera) làm dược liệu

    Benzylamine có tác dụng cải thiện khả năng dung nạp glucose từ đó mang lại hiệu quả hạ đường huyết ở những bệnh nhân bệnh Đái tháo đường, giúp giảm trọng lượng cơ thể cũng như ức chế sự phân giải lipid trong cơ thể. Một số nghiên cứu đã được thực hiện để chứng minh công dụng của Benzylamine.

    Nghiên cứu của Iffiú-Soltész Z và cộng sự: Sử dụng Benzylamine lâu dài trong nước uống giúp cải thiện khả năng dung nạp glucose, giảm tăng trọng lượng cơ thể và lưu thông cholesterol ở những con chuột ăn chế độ ăn giàu chất béo.

    • Nghiên cứu này đã kiểm tra xem liệu việc uống Benzylamine mãn tính có thể cải thiện khả năng dung nạp glucose và thành phần lipid tuần hoàn mà không làm tăng stress oxy hóa ở chuột thừa cân và tiền tiểu đường hay không.

    • Sự khuếch tán Benzylamine qua ruột đã được xác minh bằng cách sử dụng túi ruột già. Sau đó, các dấu hiệu chuyển hóa và xử lý glucose được đo ở những con chuột có biểu hiện kháng insulin khi được cho ăn một chế độ ăn nhiều chất béo (HFD) và được chia làm hai nhóm nhận hoặc không Benzylamine trong nước uống của chúng (3600 micromol/kg/ngày) trong 17 tuần.

    • Chuột HFD-Benzylamine cho thấy các chỉ số như: trọng lượng cơ thể, đường huyết lúc đói, cholesterol toàn phần trong huyết tương thấp hơn so với chuột HFD không được uống Benzylamine.

    • Trong tế bào mỡ, sự kích hoạt vận chuyển glucose do insulin gây ra và ức chế phân giải lipid không thay đổi. Trong động mạch chủ, điều trị bằng Benzylamine phục hồi một phần mức nitrit đã bị giảm do HFD.

    • Ở gan, các dấu hiệu peroxy hóa lipid bị giảm. Resistin và axit uric, các dấu hiệu thay thế huyết tương của hội chứng chuyển hóa, đã giảm. Bất chấp bản chất có hại giả định của hydrogen peroxide được tạo ra trong quá trình oxy hóa amin, và phù hợp với các hoạt động giống insulin trong ống nghiệm của nó được tìm thấy trên tế bào mỡ, Benzylamine có thể được coi là một chất uống tiềm năng để điều trị hội chứng chuyển hóa.

    Liều dùng & cách dùng

    Hiện nay Benzylamine chưa được chính thức chế tạo thành thuốc điều trị bệnh, còn đang trong quá trình nghiên cứu. Benzylamine hiện tại có được ứng dụng trong tham gia là thành phần chế tạo các nhiều loại dược phẩm, cách sử dụng các dược phẩm sẽ được tuân theo chỉ định của Bác sĩ, Dược sĩ và hướng dẫn của nhà sản xuất.

    Benzylamine có trong cây chùm ngây, một loại dược liệu trong Y học cổ truyền. Hướng dẫn sử dụng về liều lượng và chỉ định nên được tham khảo bởi Bác sĩ Y học cổ truyền.

    Ứng dụng

    Trong công nghiệp

    Benzylamine được dùng trong chế tạo thuốc nổ Hexanitrohexaazaisowurtzitane (HNIW) sử dụng cho mục đích quân sự, có điểm ưu việt hơn so với chất nổ cũ, tuy nhiên độ ổn định dường như kém hơn. HNIW đang được Hải quân Hoa Kỳ đang thử nghiệm, nhằm sử dụng trong các động cơ tên lửa, vì nó mang lại khả năng quan sát ở vị trí thấp hơn do tạo ra ít khói hơn.

    Trong Y học và Dược phẩm

    Sản xuất dược phẩm: Benzylamine được sử dụng trong nhiều loại dược phẩm như alniditan, lacosamide, kháng sinh (moxifloxacin) hay thuốc chẹn beta (nebivolol).

    Điều trị say tàu xe: Muối hydrochloride của benzylamine được điều chế bằng phản ứng benzylamine với axit hydrochloric (HCl) có thể được ứng dụng điều trị chứng say tàu xe. Các thuốc làm giảm chứng say tàu xe có bán trên thị trường hiện nay, bao gồm các thuốc thuộc nhóm kháng Histamin như cinnarizine và meclizine là dẫn xuất của benzylamine. Muối của benzylamine và các dẫn xuất khác của nó đã được chứng minh là có tính chất chống nôn.

    Điều trị bệnh giun sán: Muối benzylammonium được tìm thấy trong bephenium hydroxynaphthoate là một loại thuốc dùng điều trị bệnh giun đũa.

    Khăn giấy ướt: Benzylamine có trong thành phần của sản phẩm khăn giấy ướt 75% Alcohol Wipes. Thành phần: Benzylamine (0.1 mg/100ml) + Ethanol (75 ml/100ml) + Methylisothiazolinone (0.1 mg/100ml).

    khăn giấy
    Khăn giấy ướt có chứa Benzylamine

    Lưu ý

    Sử dụng theo khuyến cáo từ nhà sản xuất của từng loại thành phẩm có chứa Benzylamine.

    Benzylamine thể hiện độc tính qua đường miệng ở mức khiêm tốn ở chuột với LD50 (liều gây độc) là 1130 mg/kg.

    Nguồn tham khảo
    Thông tin và sản phẩm gợi ý trong bài viết chỉ mang tính chất tham khảo, vui lòng liên hệ với Bác sĩ, Dược sĩ hoặc chuyên viên y tế để được tư vấn cụ thể. Xem thêm